服務熱線
400-608-2558
咨詢熱線
15502965860-





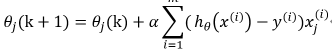
或者k<K ,輸出θ,否則轉步驟2.

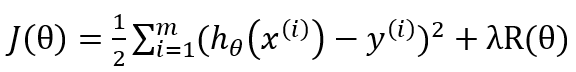
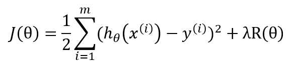
| 參數 | 類型 | 描述 |
| 數據標準化 | 下拉框 | 設置數據標準化的方法,字符型,取值范圍:無處理,歸一化,標準化,默認值為無處理 |
| 取值區間下限 | 文本框 | 設置歸一化取值區間下限,浮點型,取值范圍:[0,∞),默認值為0 |
| 取值區間上限 | 文本框 | 設置歸一化取值區間上限,浮點型,取值范圍:[0,∞),默認值為1 |
| 正則化參數 | 文本框 | 正則化參數控制機器的復雜度,浮點型,取值范圍:[0,∞),默認值為0.01 |
| 收斂容差 | 文本框 | 設置終止迭代的誤差界,浮點型,取值范圍:[0,∞),默認值為0.000001 |
| 最大迭代次數 | 文本框 | 設置最大迭代次數,整型,取值范圍:[1,∞),默認值為100 |
| 罰函數類型 | 下拉框 | 設置懲罰函數類型,0對應L2罰函數,1對應L1罰函數,(0,1)之間對應L1和L2的組合罰函數。浮點型,取值范圍:[0,1],默認值為0 |
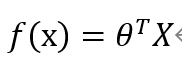
| 求解方法 | 下拉框 | 選擇線性回歸的求解方法,文本型,取值范圍:Auto,L-BFGS,Normal (Normal->加權最小二乘法,L-BFGS->牛頓法,Auto->算法自動選取(L-BFGS,Normal)中的一種)。默認值為Auto |
| 是否顯示變量重要性 | 復選框 | 用戶選擇是否分析每個變量對于回歸結果的影響程度,如果選擇是,則在洞察中顯示參與建模的每個變量對于模型的貢獻程度情況 |






